近日,我校化学与分子工程学院费林加诺贝尔奖科学家联合研究中心陈宜峰课题组在NatureSynthesis上发表了题为“Enantio- and linear-selective allylic radical addition to imines using reductive cobalt catalysis”的研究论文,在线报道了课题组利用烯丙基亲电试剂与亚胺进行不对称自由基加成反应构建手性线状高烯丙胺的研究新进展。
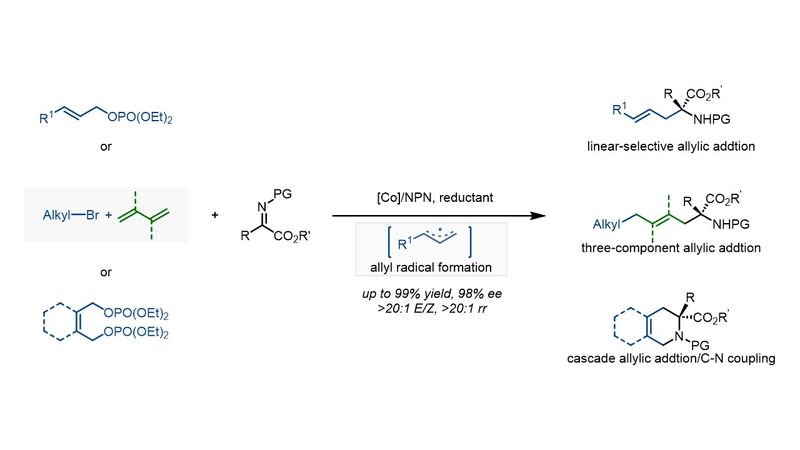
过渡金属催化的不饱和碳‑杂键不对称烯丙基加成反应是有机合成中构建碳‒碳的一类重要反应。传统方法主要依赖于形成亲核性烯丙基金属中间体,其与羰基化合物通过形成六元环Zimmerman–Traxler过渡态来调控反应的区域与立体选择性,从而优先生成动力学稳定的γ-选择性产物。然而,如何突破该六元环过渡态的限制,实现高对映选择性的α-选择性烯丙基加成,迄今仍具挑战。
针对上述难题,陈宜峰课题组基于前期发展的不对称还原加成新体系,采用原位组装氧化还原活性配体的策略,通过调控钴催化剂的活性配位点,打破了传统烯丙基加成中六元环过渡态的主导模式,成功实现了亚胺的高对映选择性与高α-区域选择性烯丙基自由基加成。同时,该体系适用于1,3-二烯、非活化烷基卤代物与亚胺的三组分不对称自由基加成反应,能以高对映选择性和优异的官能团耐受性合成一系列高烯丙基氨基酸酯衍生物。当使用二烯丙基亲电试剂时,反应可经由自由基加成/烯丙基胺化串联过程,构建含有α-四取代手性中心的四氢吡啶类骨架。此外,课题组结合机理实验及与天津大学黄跟平课题组合作完成的DFT理论计算表明,反应中生成的烯丙基自由基并未被钴中心捕获形成π-烯丙基配合物,而是直接与手性钴催化剂双齿螯合配位的α-亚胺酯发生自由基加成,从而实现了区域与立体选择性的精准控制。该研究为发展不对称自由基型烯丙基化反应及探索非经典的选择性控制模式提供了新思路。

该工作主要由特聘副研究员伍贤青、研究生时玥(计算化学)和博士生张晨焕完成。天津大学黄根平教授及华东理工大学陈宜峰教授为该工作的共同通讯作者。研究工作得到了曲景平教授和朱为宏院士的悉心指导。以上研究工作得到了国家自然科学基金、费林加诺贝尔奖科学家联合研究中心、材料生物学与动态化学教育部前沿科学中心等资助。
原文链接:https://www.nature.com/articles/s44160-025-00985-3

