导航
学校概况
学校简介
历史沿革
华东理工大学
华东化工学院
上海化工学院
华东化工学院2
历任领导
华东理工大学
华东化工学院
学校领导
党委书记
校长、党委副书记
党委副书记
副校长
纪委书记
党委常委
校长助理
领导分工
校区介绍
史记华理
组织机构
党群部门
行政部门
学院
直属单位
人才培养
本科生教育
研究生教育
博士后流动站
留学生教育
继续教育
师资队伍
院士专家学者
中国两院院士
其他国家院士
国家杰出青年科学基金获得者
国家百千万人才工程
国家级教学名师
全国模范教师
全国优秀教师
“973”首席科学家
国家863计划领域专家
有突出贡献的中青年专家
上海市科技精英
上海市领军人才
上海市青年科技英才
教育部跨世纪优秀人才培养计划入选...
教育部新世纪优秀人才支持计划入...
研究生指导教师
教师个人主页
广纳英才
学科建设
“双一流”建设
发展规划
学位授权点
学科评估
科学研究
管理机构
科研基地
国家级科研基地
省部级科研基地
校级科研机构
国际合作研发机构
校企联合研究机构
创新引智基地
科研团队
科研成果
学术期刊
合作交流
校园文化
校训校歌
学校标识
文化校历
文明在线
人文艺术
校园风景
招生就业
本科生招生
研究生招生
留学生招生
继续教育招生
就业服务
创新创业
信息公开
党务公开
政务公开
ENGLISH
信息门户
新闻资讯
媒体聚焦
创新前沿
融媒矩阵
公共服务
共庆七秩
查看更多
2022-11-02
2002、1992届校友毕业20、30周年返校大会举行
2022-11-01
华东理工大学举办“碳中和及卓越人才培养”中外大学校长论坛
2022-10-31
华东理工大学理事会六届三次会议召开
2022-10-31
校长轩福贞在庆祝华东理工大学建校70周年大会上的致辞
2022-10-31
学校举行山东京博控股集团赠送70周年校庆纪念品揭幕仪式
2022-10-30
庆祝华东理工大学建校70周年大会隆重举行
校庆活动
查看更多
2022-10-25
华东理工大学70周年校庆公告 (第三号)
自校庆一号、二号公告发布以来,广大师生员工、海内外校友、社会各界人士积极响应、鼎力支持,在此谨致以衷心的感谢和崇高的敬意! 盛世相约,擘画未来。10月22日,党的二十大胜利闭幕,吹响了全面建设社会主义现代化国家、全面推进中华民族伟大复兴的奋进号角。值此70周年校庆之际,学校将深入学习贯彻党的二十大精神,以“七秩育桃李•奋发谱新篇”为主题,举办校庆系列活动,以此献礼建校70周年,推动学校事业发展实现新跨越,为中国式现代化道路提供坚实的教育、科技和人才支撑。
讲座人:
讲座时间:
讲座地点:
2022-10-28
Pyroptosis:From Antibacterial Immunity to Antitumor Immunity
讲座人:
邵峰院士,北京生命科学研究所
讲座时间:
2022-10-28 15:00
讲座地点:
2022-10-28 15:0
2022-10-28
抗病毒天然免疫与炎症反应信号转导机制
讲座人:
舒红兵院士,武汉大学
讲座时间:
2022-10-28 09:00
讲座地点:
腾讯会议
华理头条
查看更多
2026-01-21
12
华东理工大学召开国家卓越工程师学院建设发展大会
1月20日,华东理工大学召开国家卓越工程师学院建设发展大会。
2026-01-17
5
《中国教育报》头版头条刊发华东理工大学与西部产业的融合实践
1月17日,中国教育报头版头条刊发《我以我尺丈山海——华东理工大学与西部产业的一场融合实践》。
2026-01-13
11
中共华东理工大学第十二届委员会第五次全体会议召开
1月12日下午,中共华东理工大学第十二届委员会第五次全体会议在和平楼第二会议室召开。
2026-01-05
436
学校入选首批高等教育综合改革试点高校
近日,教育部公布名单,我校成功入选首批高等教育综合改革试点高校,全国仅39所。
2025-12-31
725
2026年新年贺词
值此元旦佳节之际,我们代表学校向全体师生员工及家属、离退休老同志、海内外校友和长期关心支持学校事业发展的社会各界人士,致以新年的问候和美好的祝福!
要闻
快讯
进入新闻网
2026-01-23
学校与上海市先导产业促进中心签署合作框架协议
2026-01-23
学校召开“十四五”规划总结和“十五五”发展规划编制院长座谈会
2026-01-23
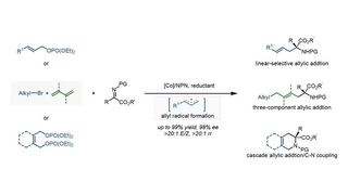
【创新前沿】Nature Synthesis 报道我校不对称线状选择性烯丙基自由基加成研究新进展
2026-01-23
如何高质量实施新时代立德树人工程?看华理这样答题
2026-01-23
校党委书记蒋传海与辅导员代表座谈研讨
2026-01-22
创多项全球领先 生物制造有了“中国芯”
进入新闻网
2026-01-23
材料学院一行走访上海碳谷绿湾产业园
2026-01-23
人事处召开2026年博士后基金项目申报动员会
2026-01-23
学校召开2025年度学生资助工作交流会
2026-01-23
体育学院举行“强体筑梦,马到成功”迎新联欢活动
2026-01-23
企业专家汤吉彦应邀来我校作专题报告
2026-01-23
继续教育学院举办系列专家座谈会暨首批授课专家受聘仪式
讲座报告
查看更多
2026-01-16
药用天然产物生物合成与新药发现
开始时间:2026-01-16 14:00:00
报告地点:实验19楼201室
报告人:戴均贵 研究员 中国医学科学院药物研究所
高分子立构可控合成
开始时间:2026-01-19 09:30:00
报告地点:实验三楼102室
报告人:四川大学 朱剑波教授
数智技术赋能生物药生产制造
开始时间:2026-01-07 14:00:00
报告地点:实验18楼315 沃美报告厅
报告人:林东强 教授,浙江大学化学工程与生物工程学院
通知公告
查看更多
23
2026-01
关于徐汇及奉贤校区部分区域停水的通知
亲爱的老师们、同学们:因徐汇及奉贤校区二次供水水箱清洗,需停水施工。一、徐汇校区:停水时间及范围:2
14
2026-01
关于组织推荐“‘十五五’新征程与中国式现代化” 理论征文活动的通知
为推动深入学习宣传贯彻党的二十届四中全会精神,加强对“十五五”时期重大理论和实践问题研究,深化党的创
14
2026-01
关于组织推荐学生参加2026年全国大学生践行总体国家安全观宣讲活动的通知
为深入贯彻落实党的二十届四中全会精神和中央教育工作领导小组《关于新时代立德树人工程的实施意见》有关部
31
2025-12
关于2026年元旦春节期间纠治“四风”的通知
2026年元旦、春节将至,为深入贯彻落实党中央全面从严治党要求,持续巩固拓展深入贯彻中央八项规定精神
热点专题
查看更多
媒体聚焦
查看更多
【媒体报道集锦】媒体聚焦中国城市社会发展百强榜(2025)发布
《中国教育报》我以我尺丈山海
【科学网】科学家为发展绿色高效自由基不对称合成体系提供新路径
【华山路有料青年视频号】跟着规划选专业|生物工程要起势?
【媒体报道集锦】媒体聚焦中国城市社会发展百强榜(2025)发布
【媒体报道集锦】华理学子李政霖捐献造血干细胞获媒体关注
【媒体报道集锦】媒体聚焦首届未来化工前沿论坛
《东方教育时报》新年首捐!华理学子李政霖为他人点燃生命希望
《东方教育时报》求职路上如何构筑核心竞争力
《上海科技报》华东理工大学不对称自由基加成研究获系列新进展
学在华理
查看更多
2025-12-29
【青春奋进】2金2银2铜,华理学子在第三届全国大学生职业规划大赛上海赛区总决赛中斩获佳绩
2025-12-26
我校新增15门国家级一流本科课程
2025-12-23
【青春奋进】从军营到校园:我校多名退役大学生获退役军人事务部报道
创新前沿
查看更多
2026-01-23
【创新前沿】Nature Synthesis 报道我校不对称线状选择性烯丙基自由基加成研究新进展
2026-01-22
【创新前沿】Nature Communications报道我校在直接空气碳捕集制备可持续航空燃料领域取得新进展
2026-01-21
【创新前沿】Nature Communications 报道我校光驱动甲烷干重整领域研究新进展
一流本科
创新前沿
查看更多
【青春奋进】2金2银2铜,华理学子在第三届全国大学生职业规划大赛上海赛区总决赛中斩获佳绩
12月28日,全国大学生职业规划大赛上海赛区总决赛在同济大学落下帷幕,我校6名参赛选手进入决赛,最终斩获金奖2项、银奖2项、铜奖2项,我校获得优...
阅读全文
我校新增15门国家级一流本科课程
日前,教育部公布第三批国家级一流本科课程认定名单,我校“质量文化导论”等15门课程成功入选,涵盖线上、虚拟仿真实验教学、线上线下混合式、线...
阅读全文
【青春奋进】从军营到校园:我校多名退役大学生获退役军人事务部报道
2025年,退役军人事务部官网相继报道了我校3名退役大学生士兵的先进事迹,展现他们“退役不褪色、退伍不退志”的青春风采。刘姿含、曹建军、梁之...
阅读全文
【青春奋进】我校学生在2025年全国大学生数学建模竞赛中斩获佳绩
12月13日,2025年全国大学生数学建模竞赛上海赛区颁奖会顺利举行。我校学子喜获佳绩,其中数学学院韩卓播、张航嘉、翟逸伟组成的参赛团队荣获全国...
阅读全文
勇夺6金6银6铜!“外研社·国才杯” 全国大学生外语能力大赛上海市决赛我校学子获佳绩
近日,2025“外研社·国才杯”“理解当代中国”全国大学生外语能力大赛上海市决赛英语组综合能力、演讲、笔译、口译、短视频各赛项,以及多语种赛...
阅读全文
特等奖+1,2025年“知行杯”华理再创佳绩
近日,由市委宣传部、市文明办、市教卫工作党委、市教委、团市委和市学联联合主办的2025年“知行杯”上海市大学生社会实践大赛圆满落幕。经市级复...
阅读全文
查看更多
【创新前沿】Nature Synthesis 报道我校不对称线状选择性烯丙基自由基加成研究新进展
近日,我校化学与分子工程学院费林加诺贝尔奖科学家联合研究中心陈宜峰课题组在NatureSynthes
2026-01-23
阅读全文
【创新前沿】Nature Communications报道我校在直接空气碳捕集制备可持续航空燃料领域取得新进展
日前,我校信息科学与工程学院钱锋院士、杜文莉教授团队联合谢菲尔德大学王美宏院士团队等单位,开展了太阳
2026-01-22
阅读全文
【创新前沿】Nature Communications 报道我校光驱动甲烷干重整领域研究新进展
近日,我校化学与分子工程学院张金龙教授团队在光驱动CH4-CO2催化转化领域研究取得新进展,相关成果
2026-01-21
阅读全文
【创新前沿】我校研发的安全氢基能源技术再获突破
氢能是一种零碳能源,被誉为“21世纪终极能源”。氢能的兴起标志着能源领域一个新时代的开始。2024年
2026-01-19
阅读全文
【创新前沿】Journal de Mathématiques Pures et Appliquées报道我校在度量图上非线性偏微分方程领域最新进展
近日,数学学院姬超教授与其博士研究生何镇涛在非线性偏微分方程领域取得重要研究进展。其合作论文《Nor
2026-01-19
阅读全文
【创新前沿】《自然通讯》报道我校紫杉醇合成领域研究新进展
近日,生物工程学院生物催化与合成生物团队郁惠蕾课题组在Nature Communications上发
2026-01-16
阅读全文
影记华理
查看更多
华理2024年研究生招生宣传片上线~邀你梦想《启程》
《与谁共度》——2023年本科招生宣传片
华东理工大学70周年校庆宣传片震撼发布!
融媒矩阵
查看更多
我,外语专业毕业,没当翻译:人生的答案不是在开头就写好!
‼️宠粉啦!送你高颜值限定惊喜~
揭晓!2025,我们一起拼出来的“成绩单”!
获批!国家卓越工程师学院
分享一位准学霸给你认识!
再上央视!
揭晓!2025,我们一起拼出来的“成绩单”!
其他新媒体平台